研究论文

     

肠道微生物对进展期腺瘤风险的影响

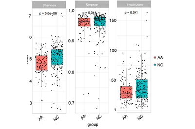
这项研究通过收集92例高级别腺瘤(AA)患者和184例健康对照者的粪便样本,运用宏基因组测序和多种分析方法,旨在分析AA患者的特征性肠道微生物,并构建风险预测模型。

肠道微生物特征及相关性:研究发现,AA患者中普雷沃氏菌属 sp900557255、腐败阿利斯氏菌等细菌和百合病毒、费利克斯奥纳病毒等病毒的丰度较高。肠道微生物与临床信息存在相关性,如拟杆菌属、巨单胞菌属与部分临床指标相关,病毒中米病毒等也与临床信息相关。

预测模型及意义:基于肠道细菌和病毒构建的预测模型中,CatBoost模型效果最佳,细菌和病毒测试集的准确率分别达87.27%和83.33%。通过无监督聚类将肠道微生物分为4个亚型,各亚型有特征性细菌和病毒,基于亚型构建的模型预测准确率更高,为AA的预测和诊疗提供了新方向。