研究论文
血清和外泌体中的lncRNA-HEIH
作为HCV相关性肝细胞癌的潜在生物标志物
这项研究招募了慢性丙型肝炎(CHC)、丙型肝炎病毒(HCV)诱导的肝硬化和HCV相关肝细胞癌(HCC)患者,收集临床数据、血清样本并提取外泌体,检测血清和外泌体中lncRNA-HEIH的表达,以探究其在HCV相关HCC发展中的临床意义。
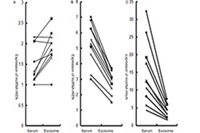
结果发现,HCV 诱导的肝硬化和HCV相关HCC患者的ALT、GGT、HDL、INR、Alb和AFP等水平变化显著。同时,HCV相关HCC 患者血清和外泌体中lncRNA-HEIH表达增加,但与CHC患者相比,其血清与外泌体中lncRNA-HEIH表达的比值降低。
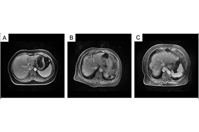
此外,研究还观察到,CHC患者的肝脏MRI表现接近健康肝脏,而HCV诱导的肝硬化患者肝脏体积缩小、轮廓改变,HCV相关HCC患者肝脏表面不平、信号不均且有异常信号。从外泌体的超微结构来看,不同疾病患者的外泌体均呈圆形或椭圆形,直径约30-100nm,无法区分。


